Российский производитель и разработчик сертифицированного измерительного оборудования с 1987 года


Внедрение: 2019 г.

Магнитометры POS (Sensor Overhauser Sensor), в том числе POS-1, применяются в наземной геологоразведке, обсерваториях и метрологической практике, в системах сейсмического и вулканического мониторинга.

В работе [1] учёных Уральского федерального университета представлено аппаратно-программное решение задачи изучения и управления амплитудно-временными характеристиками сигнала ядерной прецессии рабочего вещества датчиков Оверхаузера магнитометров POS‑1. 

С аппаратной точки зрения, созданный испытательный стенд представляет собой развитие существующей лабораторной меры магнитного поля. К ней был добавлен внешний модуль АЦП E20‑10 для связи между электронным блоком магнитометра и компьютером. Общая блок-схема устройства показана на рисунке 1.

Рисунок 1. Блок-схема установки: 1 – магнитный экран, состоящий из четырех коаксиальных слоев из сплава пермаллоя; 2 – двухслойный соленоид; 3 – источник питания соленоида; 4 – блок питания источника тока соленоида; 5 – магнитометр, состоящий из блока электроники (5) и протонного датчика Оверхаузера (5'); 6 – аккумулятор для питания магнитометра; 7 – компьютер с разработанным ПО; 8 – осциллограф; 9 – вольтметр; 10 – модуль АЦП E20‑10.

 

Среда LabView была выбрана для разработки программной части комплекса, поскольку она позволяет визуализировать каждый этап разработки программы, а также имеет специализированные библиотеки для выбранного АЦП. Полученный сигнал ядерной прецессии рабочего вещества исследуемого датчика, его сглаженная огибающая, амплитуда и время релаксации с ошибками отображаются на фронтальном интерфейсе программы. Интерфейс программы показан на рисунке 2.

Рисунок 2. Программная панель с отображением сигнала и его основными характеристиками.

 

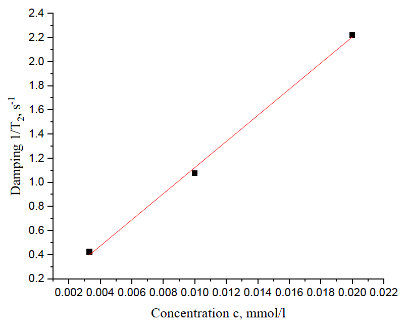
Проверка соответствия измеренных характеристик (рисунки 3, 4) теоретическим зависимостям проводилась на стендовых испытаниях.

Рисунок 3. Зависимость скорости затухания сигнала от концентрации радикалов. Рисунок 4. Зависимость скорости затухания сигнала от магнитного поля.

 

По словам авторов статьи, проведённые эксперименты подтвердили соответствие измеренных параметров теоретическим зависимостям. Планируется дальнейшее развитие системы с расширением ее функциональных возможностей. В частности, развитие системы до спектрометра для динамической поляризации ядер позволит изучать растворы стабильных радикалов, которые являются рабочими веществами магнитометров Оверхаузера.

Источник:
AIP Conference Proceedings 2174, 020261 (2019); https://doi.org/10.1063/1.5134412


Разработчик: Ушаков В.А., Денисов А.Ю., Сергеев А.В., Нархов Е.Д., Сапунов В.А. (Уральский федеральный университет, г. Екатеринбург)

Контакты

Адрес: 117105, Москва, Варшавское шоссе, д. 5, корп. 4

Многоканальный телефон: +7 (495) 785-95-25

Письма и запросы: lcard@lcard.ru
Отдел продаж: sale@lcard.ru
Мы работаем с юридическими и физическими лицами, пожалуйста, прикладывайте реквизиты при оформлении заказа
Техническая поддержка: support@lcard.ru

Время работы: с 9-00 до 19-00 мск