Меню
+7 (495) 785-95-25
sale@lcard.ru
sale@lcard.ru

Эквивалентная электрическая схема (схема замещения) – это электрическая схема, в которой все влияющие на расчёт элементы (факторы влияния) заменены на их идеальные эквиваленты, а все не влияющие элементы и факторы исключены. Такая схема фактически является моделью (идеальным приближением) реальной схемы для рассматриваемого режима работы реальной схемы (например, для рабочего, либо предельно допустимого режима). Эквивалентная схема (в отличие от функциональной схемы) использует количественные параметры составляющих элементов, опираясь на которые можно провести относительно простой расчёт или приближенную оценку интересуемого параметра реальной электрической схемы.
Эквивалентные электрические схемы традиционно используют для описания схем измерения. В эквивалентную электрическую схему для анализа физики происходящего процесса могут быть включены также и неэлектрические взаимосвязи между элементами схемы, например, тепловые (между нагревателем и термодатчиком), световые (между излучателем и фотодатчиком), электромеханические (между обмоткой и контактами реле) и т. д.
Эквивалентные электрические схемы можно условно классифицировать по трём уровням сложности:
Заметим, что не следует путать термины ёмкость, индуктивность, сопротивление. Это термины эквивалентной электрической схемы, в отличие от названий реальных электронных компонентов в электрических принципиальных схемах – конденсатор, катушка индуктивности (дроссель), резистор, которые не являются идеальными по физическим свойствам.
В таблице ниже приведено описание электрических свойств всех элементов большинства эквивалентных электрических схем со сосредоточенными параметрами.
| Элемент | Изображение | Импеданс Z | Зависимость между током I и напряжением U и временем t |
| Источник ЭДС | ![]() |
0 | U(t)=const для любого I и t |
| Источник тока | ![]() |
∞ | I(t)=const для любого U и t |
| Сопротивление | ![]() |
R | R=const для любых I и U, U(t)=I(t)*R |
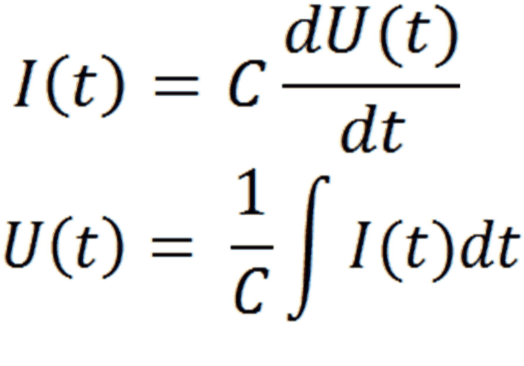
| Ёмкость | ![]() |
-j(2πfC)-1 | ![]() |
| Импеданс | ![]() |
R + jX |
Um=Im*Z, |
| Индуктивность | ![]() |
j2πfL | ![]() |
| Идеальный диод | ![]() |
0 при I>0 ∞ при I≤0
|
U=0 при I>0 U≠0 при I≤0 |
| Идеальный ключ (коммутатор) | ![]() |
0, когда замкнут ∞, когда разомкнут |
U=0, когда замкнут, для любого I I=0, когда разомкнут, для любого U |
Обозначения в таблице выше:
j – мнимая единица (j2=-1) в представлении комплексного числа;
π =3,14...;
const – постоянное значение величины.
На рисунке выше приведён реальный пример эквивалентной электрической схемы (по переменному току) для дифференциального входа модуля АЦП LTR22 в рабочем режиме. Данная схема позволяет учесть влияние входной цепи LTR22 на цепь измерения в случае подключения LTR22 к высокоомному (высокоимпедансному) источнику сигнала.
Практически, данные для составления эквивалентной электрической схемы добывают следующими путями:
Литература по теоретическим основам электротехники: Бессонов Л. А. ТOЭ.
| Перейти к другим терминам | Cтатья создана: | 01.08.2014 |
| О разделе "Терминология" | Последняя редакция: | 25.08.2019 |
Термин активно используется при испытаниях различных систем сбора данных, когда целесообразно заменить штатные источник входного сигнала или выходную нагрузку их эквивалентами.
Адрес: 117105, Москва, Варшавское шоссе, д. 5, корп. 4
Многоканальный телефон:+7 (495) 785-95-25
Письма и запросы: lcard@lcard.ru
Отдел продаж: sale@lcard.ru
Техническая поддержка: support@lcard.ru
Время работы: с 9-00 до 19-00 мск
+7 (495) 785-95-25
lcard@lcard.ru